厌氧氨氧化技术因其无需外加有机碳源、污泥产量低和无需曝气,能大大减少污水处理的运行成本而受到广泛关注. ANAMMOX虽然是一种高效、节能的生物脱氮技术,却因为是自可养型生物而易受有机物影响.因此,ANAMMOX工艺多用来处理低碳氮比废水.在有机物浓度较高时,ANAMMOX难以与快速增长的异养菌竞争,从而导致反应器脱氮效能下降.目前,关于厌氧氨氧化反应研究大多停留在实验室条件下的小试实验阶段,并且多通过人工配水来完成.但实际上,工业废水或生活污水中几乎都含有不同浓度和种类的有机物.
目前,国内外就有机碳源对厌氧氨氧化代谢的影响做了大量的研究,主要存在两种观点:一种认为低浓度有机物存在时可促进厌氧氨氧化菌的活性,但有机物浓度高时,厌氧氨氧化菌活性大大降低;另外一种观点认为,有机物存在下,厌氧氨氧化菌与反硝化菌竞争并优先利用有机碳源,代谢途径表现多样化. Yang等研究发现随着COD负荷提高,当进水氨氮(NH4+-N)和亚硝酸盐(NO2--N)浓度分别为189 mg˙L-1和85 mg˙L-1时,ANAMMOX反应在COD浓度高于237 mg˙L-1时完全停止. Sabumon等亦发现在COD存在情况下,反硝化反应更强于ANAMMOX,从而抑制ANAMMOX的活性. COD的添加会抑制ANAMMOX活性,当进水NH4+-N和NO2--N浓度均为70 mg˙L-1时,2 050.75 mg˙L-1和4 101.5 mg˙L-1的乙酸盐会引起ANAMMOX活性分别抑制了22%和77%.相反地,有研究在添加乙酸盐、丙酸盐和葡萄糖(浓度均为1 mmol˙L-1)的批试实验中发现ANAMMOX活性的增加,而在连续流实验中,ANAMMOX活性却降低. Chamchoi等通过碳氮比对ANAMMOX的影响研究发现,在进水NH4+-N和NO2--N浓度分别为40 mg˙L-1和50 mg˙L-1时,随着碳氮比从0.9升高到2.0,ANAMMOX活性逐渐降低.在实际工程应用中,为使厌氧氨氧化菌的生长不受异养菌的影响,往往在其进水前设置好氧消化工序将废水中的有机物去除,然而,实际中污水成分复杂使工艺运行不稳定导致有机物去除效果差,使得厌氧氨氧化系统容易受到有机物的影响.因此,有必要系统地考察有机物对厌氧氨氧化系统脱氮过程的影响.
本研究采用ASBR反应器,选取葡萄糖、蔗糖、乙酸钠、柠檬酸三钠这4种常见有机物,从NH4+-N、NO2--N、硝酸盐氮(NO3--N)和总氮(TN)等的去除探讨了不同浓度和种类的有机碳源短期变化对厌氧氨氧化菌的活性的影响和系统脱氮情况,以期为厌氧氨氧化工艺的实际应用提供理论和技术支持.
1 材料与方法
1.1 实验装置与方法
本实验使用的装置为有效容积为1.0 L的玻璃瓶,外置黑布,瓶口橡胶塞上开两孔,分别用于搅拌和取样(图 1).为保证系统的密封性,取样采用注射器进行抽取.反应器配置搅拌装置维持转速为80 r˙min-1.反应装置放在恒温水浴锅中,温度设为35℃.本实验的水力停留时间为8 h,每隔0.5 h取一次样进行水质分析,进水pH控制在7.5左右.

1.2 接种污泥与实验用水
实验用泥为稳定运行300余天的厌氧氨氧化活性污泥,污泥外观呈红色,大部分呈细小颗粒状(d < 0.2 mm).污泥沉降性能良好,其对亚硝酸盐氮和氨氮的去除率都达到99%以上.实验过程污泥浓度(MLVSS)保持在750 mg˙L-1左右.实验用水采用人工配水,模拟废水水质:NaHCO3 1.5 g˙L-1,KH2PO4 0.02 g˙L-1,MgSO4˙7H2O 0.3 g˙L-1,CaCl2˙2H2O 0.056 g˙L-1,微量元素Ⅰ、Ⅱ各1 mL˙L-1. NH4Cl、NaNO2、有机物按需投加.其中微量元素Ⅰ:EDTA 5 g˙L-1,FeSO45 g˙L-1;微量元素Ⅱ:EDTA 5 g˙L-1,ZnSO4˙4H2O 430 mg˙L-1,MnCl2˙4H2O 990 mg˙L-1,H3BO4 14 mg˙L-1,CuSO4˙5H2O 250 mg˙L-1,Na2Mo4˙2H2O 220 mg˙L-1,Na2SeO4˙10H2O 210 mg˙L-1,NiCl2˙6H2O 190 mg˙L-1.
实验进水NH4+-N和NO2--N浓度分别为80 mg˙L-1和120 mg˙L-1.考察4种有机物葡萄糖、蔗糖、乙酸钠、柠檬酸三钠在COD浓度梯度0、20、40、80、120、200 mg˙L-1时对厌氧氨氧化反应的影响.
1.3 最大比厌氧氨氧化速率的确定
由于实验过程没有氧气,因此以氨氮降解速率评价厌氧氨氧化活性.反应开始后定时取样,根据氨氮浓度变化曲线确定其降解速率最快区间,得出最大斜率,再与系统中的污泥浓度X之比即得氨氮的最大比反应速率Vmax[mg˙(g˙h)-1].
1.4 测定项目和方法
氨氮采用纳氏试剂分光光度法;亚硝酸盐采用N-1-萘基-乙二胺光度法;硝酸盐采用紫外分光光度法[16];VSS采用重量法测定;pH值的测定采用玻璃电极法.总氮采用式(1)进行计算:

容积基质氮去除率[volume substrate nitrogen removal rate,NRR,kg˙(m3˙d)-1]采用式(2)进行计算:

2 结果与讨论
2.1 不同有机物对厌氧氨氧化脱氮的影响
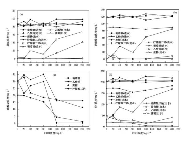
图 2为不同有机物浓度在0~200 mg˙L-1范围内,系统NH4+-N、NO2--N、NO3--N和TN的变化曲线.当葡萄糖浓度达到120 mg˙L-1时出水NH4+-N和NO2--N分别为48.42 mg˙L-1和62.56 mg˙L-1,去除率不足50%,同时造成总氮的去除率下降41%左右,并没有出现ANAMMOX菌与异养反硝化菌的竞争关系.这可能是由于反应器中反硝化菌的本底含量较少.而对于其他3种有机物,浓度为120 mg˙L-1条件下,NH4+-N和NO2--N仍有很高的去除率(86%和94%).但是,由于异养反硝化菌的存在,NO3--N的累积量明显减少,导致TN去除率的提高.当有机物浓度提高到200 mg˙L-1时,结果显示,投加乙酸钠时,系统NH4+-N的去除率从约100%降到58%,有机物的存在抑制了ANAMMOX菌的活性导致NH4+-N的去除率下降.而NO2--N和NO3--N的去除并未受到影响.

图 2 不同有机物厌氧氨氧化系统NH4+-N、NO2--N、NO3--N和TN的变化曲线
反硝化菌生长速率远快于ANAMMOX菌,在高浓度有机物存在的环境下,ANAMMOX菌在竞争电子受体亚硝酸盐中处于劣势,因此NO2--N和NO3--N仍有很高的去除率.乙酸钠、蔗糖和柠檬酸三钠对NH4+-N的降解都有一定的促进作用,对NO2--N的去除几乎没有影响;投加了蔗糖和柠檬酸三钠后厌氧氨氧化系统TN的去除率提高了12%左右,从NO3--N的积累[图 2(c)]可以看出,蔗糖和柠檬酸三钠促进了异养反硝化反应,使NO3--N的累积量减少,致使系统出水TN浓度降低.
图 3为最大比厌氧氨氧化速率(SAA)随有机物浓度的变化曲线.在系统中投加不同的有机物,SAA存在一定的差别.投加葡萄糖后SAA迅速下降,当葡萄糖浓度为200 mg˙L-1时,SAA为0.38 mg˙(g˙h)-1,较不加葡萄糖时下降了84.2%,葡萄糖对ANAMMOX菌的活性抑制非常明显.乙酸钠对ANAMMOX菌的活性有一定促进作用,最大时SAA提高了26.1%,达到2.21 mg˙(g˙h)-1.蔗糖浓度低于40 mg˙L-1时,对ANAMMOX菌的活性几乎没有影响,保持在相对稳定的1.95 mg˙(g˙h)-1;继续提高蔗糖浓度系统中有机物对SAA促进作用越来越明显,当蔗糖浓度为80 mg˙L-1时,系统SAA提高了25.0%,达到最大的2.45 mg˙(g˙h)-1.少量的柠檬酸三钠对ANAMMOX菌的活性有少量的促进作用,最大时氨氧化速率提高了9.1%;柠檬酸三钠浓度超过80 mg˙L-1时ANAMMOX菌的活性出现抑制,继续提高COD浓度,SAA没有明显变化,保持在2.65 mg˙(g˙h)-1左右.乙酸钠、蔗糖和柠檬酸三钠在浓度为80 mg˙L-1时SAA都达到最大,较不加有机物时分别增加了0.44、0.49和0.25 mg˙(g˙h)-1,而葡萄糖浓度为80 mg˙L-1时系统中SAA下降了0.67 mg˙(g˙h)-1.不同有机物对ANAMMOX菌的活性影响不一样,对SAA的促进作用具体顺序为:蔗糖 > 乙酸钠 > 柠檬酸三钠 > 葡萄糖.

图 3 不同有机物对厌氧氨氧化活性的影响
2.2 不同有机物浓度下的厌氧氨氧化脱氮过程
2.2.1 葡萄糖作用下的厌氧氨氧化脱氮过程
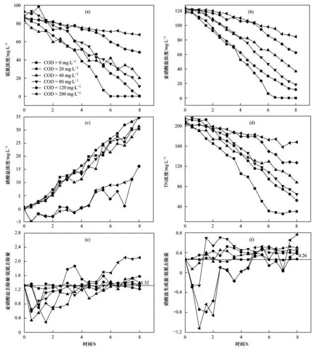
葡萄糖对ANAMMOX系统脱氮过程的影响如图 4所示.从中可知,在实验初始阶段(不加有机物),NH4+-N和NO2--N去除率均高于99%,TN去除率为84%.当葡萄糖浓度为20 mg˙L-1时,NH4+-N和NO2--N仍有较高的去除率,均高于90%.实验初始阶段和葡萄糖浓度为20 mg˙L-1时系统的SAA分别为14.39 mg˙(g˙h)-1和12.44 mg˙(g˙h)-1(图 3),少量葡萄糖的加入对系统ANAMMOX菌的活性影响不大.当葡萄糖浓度大于120 mg˙L-1时NH4+-N、NO2-和TN的去除率明显下降;当葡糖糖浓度为200 mg˙L-1时,NH4+-N的平均去除率只有17%, 系统TN去除率不足20%,SAA只有2.30 mg˙(g˙h)-1,ANAMMOX菌降解NH4+-N的总体活性损失接近80%,系统ANAMMOX过程被严重抑制.

图 4 葡萄糖作用下厌氧氨氧化脱氮过程
NO2--N和NH4+-N按比例稳定的去除是ANAMMOX工艺稳定运行的关键. 图 4(e)中,由NO2--N与NH4+-N去除量的比值可知,系统中反应分为两个部分:第一个部分比值先降低后升高并逐渐接近1.32,且随着COD浓度的增加第一部分持续时间越来越长;第二部分比值继续增大高出理论值的过程,在此过程中亚硝酸盐氮去除量增加或氨氮的去除量减少.而生成的NO3--N与NH4+-N去除量的比值[图 4(f)]有类似的变化趋势.推测原因可能是系统中存在少量反硝化菌代谢NO3--N生成中间产物NO2--N补充了ANAMMOX的电子受体,从而降低了两者比例,与此相对应的NO3--N的累积量[图 4(c)]随着葡糖糖浓度的增加迅速降低.
刘金苓等的研究向培养成熟的自养厌氧氨氧化污泥中添加少量葡萄糖能促进NH4+-N和NO2--N的去除.李泽兵等在将异养反硝化菌和厌氧氨氧化菌混合培养过程中,葡萄糖表现出的最大抑制作用仅为6.49%.杨洋等在厌氧氨氧化系统中分别加入了少量(20 mg˙L-1)和大量(200 mg˙L-1)葡萄糖.结果表明, 少量有机物的加入对污泥的厌氧氨氧化活性影响不大,而大量有机物的加入在明显抑制其厌氧氨氧化活性的同时, 使污泥表现出较高的反硝化活性.朱静平等在ASBR反应器内研究了有机碳源条件下ANAMMOX反应器中的主要反应,结果表明有机碳源存在的条件下,ANAMMOX反应器内存在着自养ANAMMOX反应和异养反硝化反应的竞争,当有机碳源浓度较低时ANAMMOX反应为主要反应,而随着有机碳源浓度的提高,异养的反硝化菌的竞争优势逐渐提高,反应器内的反硝化反应活性也越高.
在本实验中,低浓度葡萄糖(80 mg˙L-1)对系统脱氮性能的影响不大,这可能是由于反应器中的异养反硝化菌数量较少,不能有效地进行反硝化作用.而且,当葡糖糖浓度低于80 mg˙L-1时,NH4+-N和NO2--N按比例稳定的去除,ANAMMOX能稳定运行.当葡萄糖浓度高于80 mg˙L-1时,两者比值波动较大ANAMMOX运行不稳定.
2.2.2 乙酸钠作用下的厌氧氨氧化脱氮过程
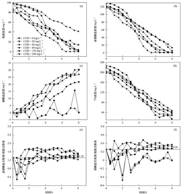
乙酸钠对ANAMMOX系统脱氮过程的影响如图 5所示.从中可知,NH4+-N和NO2--N浓度的减少随时间变化呈较好的线性关系.低浓度乙酸钠(120 mg˙L-1)环境下NH4--N、NO2--N和TN的去除率逐渐提高.乙酸钠浓度为120 mg˙L-1时NH4+-N去除率达到最大的99.1%.不断提高乙酸钠浓度的过程中,NO2--N的降解速率明显加快,NO3--N的生成量却逐渐减少,乙酸钠浓度为120 mg˙L-1时,反应器中NO3--N的累积量仅有0.07 mg˙L-1;由于NO2--N降解速率加快和NO3--N生成量的减少,TN的降解速率相应地也有所提升,去除率达到最大93%,出水TN的浓度从46.72 mg˙L-1降到13.87 mg˙L-1.当乙酸钠浓度为200 mg˙L-1时,NH4+-N的去除率降低为76%,而NO2--N和NO3--N一直保持较高的去除率,但由于出水NH4+-N浓度的提高导致TN的去除率降低至79%.

图 5 乙酸钠作用下厌氧氨氧化脱氮过程
乙酸钠浓度不同,SAA存在一定差别(图 3),系统的SAA分别为1.77、1.69、2.13、2.21、2.08和1.30 mg˙(g˙h)-1.当乙酸钠浓度为200 mg˙L-1时,最大比氨氧化速率下降了0.47 mg˙(g˙h)-1,此时ANAMMOX菌活性被高浓度乙酸钠抑制,并最终导致TN的去除率下降.实验结果显示,一定浓度的乙酸钠促进了ANAMMOX,随着投加乙酸钠浓度的增加,反硝化反应不断加强从而抑制了ANANMMOX反应.
如图 5(e)所示,NO2--N与NH4+-N去除量的比值先降低后升高,逐渐接近理论值1.32最后又偏离理论值;而NO3--N与NH4+-N的比值也有类似的趋势.随着有机物浓度的提高NO2--N与NH4+-N的比值先降低的过程渐渐缩短最后大于理论值1.32,相反NO3--N与NH4+-N的比值降低的过程却不断延长最后小于理论值0.26.结合系统的脱氮过程,NH4+-N的降解速率在开始2 h内最快,随着反应的进行速率逐渐降低;相反地NO2--N的降解速率在开始的2 h内比较缓慢然后才逐渐加快.可能的原因是系统中进行ANAMMOX的同时还发生了异养反硝化反应, 反硝化菌以NO3--N进行反硝化生成NO2--N补充了ANAMMOX过程的电子受体,从而促进了ANAMMOX反应.
有研究表明乙酸盐是可被ANAMMOX菌利用的有机物,可引发ANAMMOX菌与反硝化菌之间的互生促进作用.张少辉等[24]通过连续流实验和血清瓶批次实验研究了乙酸盐条件下的ANAMMOX菌代谢特性,发现乙酸盐与NH4+-N的比值对ANAMMOX过程影响显著:C/N较低时,乙酸盐能够同时促进ANAMMOX和反硝化;C/N较高时,乙酸盐强化反硝化过程明显.田文婷等[25]比较了5个不同C/N条件下的脱氮效果,结果发现,C/N为0.58时脱氮效果最佳.赖杨岚等[26]也发现,C/N为0.64,TN去除率达到最高.本实验在乙酸钠浓度为120 mg˙L-1,相当于C/N质量比为0.6时,两种过程共同作用效果最佳,NH4+-N、NO2--N和TN的去除率分别为96%,100%和93%.乙酸钠浓度的提高不但未抑制ANAMMOX反应的进行,反而促进了其对NH4+-N的去除,且在一定范围内浓度越高促进作用越明显.
2.2.3 蔗糖作用下厌氧氨氧化脱氮过程
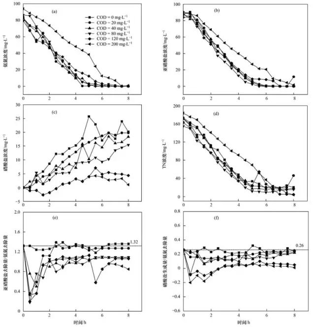
蔗糖对ANAMMOX系统脱氮过程的影响如图 6所示.从中可知,蔗糖对系统脱氮性能有一定的促进作用,当蔗糖浓度低于120 mg˙L-1时,NH4+-N、NO2--N和TN的降解速率都呈上升趋势,去除率分别保持在99%、98%和80%左右.当蔗糖浓度在200 mg˙L-1时,NH4+-N、NO2--N和TN的降解速率开始下降,此时,ANAMMOX菌活性开始出现抑制,系统脱氮性能也开始降低.随着蔗糖浓度的提高,反应器中NO3--N的浓度不断减少,NO2--N与NH4+-N的比值也低于理论值,反硝化反应逐渐增强.

图 6 蔗糖作用下厌氧氨氧化脱氮过程
从图 6(e)、6(f)中可以看出当蔗糖浓度大于40 mg˙L-1时,NO2--N与NH4+-N去除量的比值先升高后降低最后接近理论值,而NO3--N生成量与NH4+-N去除量的比值正好相反先降低后升高然后逐渐接近于理论值,而且NO2--N与NH4+-N的比值先升高或NO3--N与NH4+-N的比值先降低的过程随着蔗糖浓度的升高逐渐变短.这一过程与之前葡萄糖和乙酸钠不同,可能是因为蔗糖更容易被反硝化菌代谢.随着反应的进行,系统中有机物被消耗,反硝化作用受到抑制,NO2--N去除量/NH4+-N去除量与NO3--N产生量/NH4+-N去除量的值逐渐接近理论值.
2.2.4 柠檬酸三钠作用下厌氧氨氧化脱氮过程
图 7所示为柠檬酸三钠对ANAMMOX系统脱氮过程的影响.柠檬酸三钠作为有机碳源时系统能稳定运行.柠檬酸三钠浓度小于200 mg˙L-1时,其对系统脱氮性能几乎不产生影响.当柠檬酸三钠浓度为120 mg˙L-1时,出水TN浓度只有4.36 mg˙L-1,TN去除率达到最高的95%.当柠檬酸三钠浓度为200 mg˙L-1时系统脱氮性能下降,此时,NH4+-N、NO2--N和TN的去除率虽然没有明显变化,但可以看出NH4+-N、NO2--N和TN的去除速率明显下降.

图 7 柠檬酸三钠作用下厌氧氨氧化脱氮过程
反应开始时系统中NH4+-N降解速率相对较高,同时NO2--N与NH4+-N比值低于理论值1.32[图 7(e)],这是因为柠檬酸三钠促进了ANAMMOX反应.从图 3中也可以看出柠檬酸三钠浓度小于80 mg˙L-1时,系统中SAA是逐渐升高的过程.当柠檬酸三钠浓度大于80 mg˙L-1时,系统中的NO3--N累积量逐渐减少,NO3--N与NH4+-N的比值也低于理论值0.26,此时系统中反硝化反应增强并抑制ANAMMOX菌的活性,SAA开始下降. Kartal等揭示了在小分子有机酸存在条件下ANAMMOX的代谢途径具有多样性.本实验所用ANAMMOX菌在乙酸钠存在时活性最大上升了26.1%,而柠檬酸三钠存在时活性最大上升了9.1%.
2.3 有机碳源对厌氧氨氧化系统脱氮效能(NRR)的影响
反应中不同种类、不同浓度的有机物与容积基质氮去除速率的关系如图 8所示.低浓度葡萄糖(20 mg˙L-1)对系统NRR影响较小;随着葡萄糖浓度逐渐增加,系统NRR迅速下降,当葡萄糖浓度为200 mg˙L-1时NRR只有0.17 kg˙(m3˙d)-1,下降了72.9%,葡萄糖对系统脱氮效能影响较大.系统对乙酸钠有一段时间的适应期,在此期间系统的NRR基本维持在0.60 kg˙(m3˙d)-1;当乙酸钠浓度为40 mg˙L-1时,NRR达到最大的0.69 kg˙(m3˙d)-1,提高了13.2%,此阶段乙酸钠促进ANAMMOX系统的脱氮效能.蔗糖对系统脱氮效能的影响比较明显,当蔗糖浓度为120 mg˙L-1时,系统NRR达到最大的0.78 kg˙(m3˙d)-1,较空白提高了30.7%;继续增加蔗糖浓度时,系统NRR开始下降,蔗糖浓度为200 mg˙L-1时,NRR仅有0.48 kg˙(m3˙d)-1.柠檬酸三钠对系统脱氮效能影响相对较小,当柠檬酸三钠浓度为20 mg˙L-1时有一定程度的促进,NRR从0.79 kg˙(m3˙d)-1增加到0.80 kg˙(m3˙d)-1;随着柠檬酸三钠浓度的上升系统NRR趋于平缓,稳定在0.7 kg˙(m3˙d)-1左右.从图 8中可以看出不同有机物对系统的脱氮效能的影响:葡萄糖 > 蔗糖 > 乙酸钠 > 柠檬酸三钠.柴油发电机组

图 8 有机物对厌氧氨氧化脱氮效能的影响
2.4 有机碳源作用下厌氧氨氧化系统pH的变化
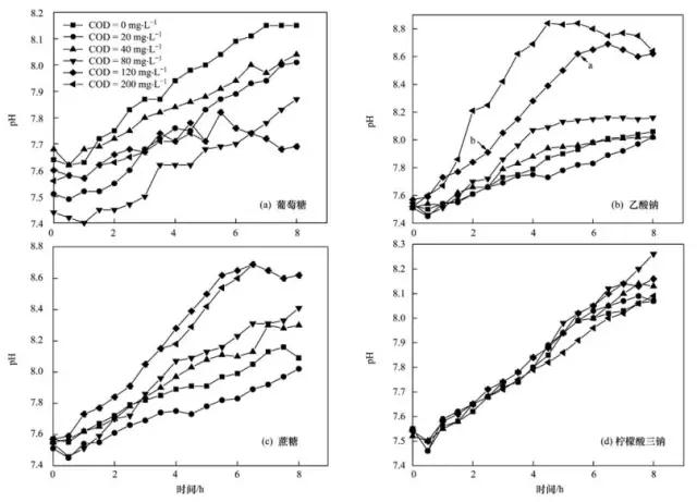
图 9给出了不同有机物作用下ANAMMOX过程中的pH值变化曲线.不依赖于有机物种类,随着反应的进行,系统pH值不断上升.随着葡萄糖浓度的增加,ANAMMOX被抑制,反应器中pH值的增量逐渐减小.投加柠檬酸三钠的反应器中pH值增量几乎不变,有机物对ANAMMOX影响较小.而有机物浓度高于120 mg˙L-1时,投加乙酸钠和蔗糖的反应器中pH值迅速升高.乙酸钠和蔗糖浓度达到200 mg˙L-1时,反应器出水pH值分别高达8.5和8.8,这是由于ANAMMOX与反硝化共同作用的结果.此时,反应器中ANAMMOX过程出现抑制现象.

图 9 不同有机物作用下厌氧氨氧化系统pH值的变化曲线
ANAMMOX及异养反硝化过程都是耗酸反应,最终导致pH值升高.当系统反应结束时,pH值变化曲线出现折点a[图 9(b)],a点恰好为图 5(a)、5(b)中NH4+-N和NO2--N消耗殆尽的点.而在此之前,pH值变化曲线上出现了一个拐点b,此点出现时NO3--N累积量减少[图 5(c)],系统内反硝化是以亚硝酸盐为电子受体,由于亚硝酸盐型反硝化速度比硝酸盐型反硝化要快,所以此阶段pH值升高速度较前阶段变快,使pH值变化曲线斜率增加. ANAMMOX反应的最适pH值范围为7.8~8.1,高pH值条件下,反应器中游离氨浓度的增加会抑制ANAMMOX菌的活性.具体参见污水宝商城资料或http://www.dowater.com更多相关技术文档。
3 结论
(1) 当葡萄糖浓度为200 mg˙L-1时,厌氧氨氧化活性下降84.2%;当乙酸钠浓度低于120 mg˙L-1时不但不会抑制厌氧氨氧化菌的活性,还在一定程度上促进了厌氧氨氧化反应的进行;蔗糖对厌氧氨氧化的促进作用与乙酸钠类似,当浓度为80 mg˙L-1时,最大比厌氧氨氧化速率提高了25.0%;柠檬酸三钠对厌氧氨氧化反应几乎没有影响.
(2) 有机碳源对厌氧氨氧化的促进作用由大到小为:蔗糖>乙酸钠>柠檬酸三钠>葡萄糖.有机碳源作用下,厌氧氨氧化反应可协同反硝化反应去除系统中的硝态氮,提高了系统总氮的去除率.